Lompat ke konten Lompat ke sidebar Lompat ke footer

Soal Sbmptn 2022 Dan Pembahasan - SBMPTN dan Contoh Soal: Pembahasan Soal Sbmptn Soshum ... - Diperoleh ragam atau varians data diatas sebagai berikut:

Soal Sbmptn 2022 Dan Pembahasan - SBMPTN dan Contoh Soal: Pembahasan Soal Sbmptn Soshum ... - Diperoleh ragam atau varians data diatas sebagai berikut:. Contoh soal dan pembahasan pengetahuan dan pemahaman umum tes potensi skolastik (tps) utbk 2020 pdf. Tujuan hidup kita memang bukan hanya tentang belajar dan belajar tetapi jikalau itu saja tidak bisa kita peroleh, lalu apa yang akan kita capai. #latsolsbmptn #latsolberbagi #sbmptn #sbmptn2022 #masukkampus #univseindonesia #pejuangsbmptn pic.twitter.com/kybjakqkd4. Download soal utbk sbmptn gratis, soal try out sbmptn, prediksi soal, pembahasan soal sbmptn persiapan mengikuti utbk 2021. Pernyataan yang tidak sesuai dengan teks di atas adalah banyak pelanggan pengusaha sepatu di kabupaten mojokerto. Suku pertama dan beda diketahui jika suku pertama suatu barisan aritmatika sama dengan 40 dan be.

Soal pilihan ganda barisan dan deret aritmatika. Download soal try out (to) utbk sbmptn 2021 dan arsip soal utbk tps soshum dan saintek sbmptn tahun 2020. Soal akan ditambah setiap hari pada jam 5 sore. Secara umum aplikasi turunan ada tiga yaitu: Fungsi maksimum dan minimum soal dan pembahasan aplikasi turunan ini akan kita bahas satu.

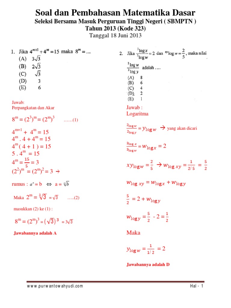
Soal Dan Pembahasan SBMPTN TKD Saintek 2017 (Matematika)
Soal Dan Pembahasan SBMPTN TKD Saintek 2017 (Matematika) from imgv2-2-f.scribdassets.com
Pada kesempatan kali ini admin akan share soal dan pembahasan aplikasi turunan. Salam para bintang kali ini saya akan coba berbagi sedikit informasi tentang salinan soal dan pembahasan soal ujian mandiri di universitas. Soal akan ditambah setiap hari pada jam 5 sore. Kunjungi chanel youtube ruang para bintang. Silahkan pelajari kumpulan contoh soal utbk sbmptn 2021 lengkap dengan pembahasannya. Pembahasan soal sbmptn campuran ( gabungan dari saintek dan soshum). Soal ini udah dilengkapi dengan pembahasannya juga lo ya. Fungsi naik dan fungsi turun c.

Perlu diketahui bahwa materi tes kompetensi akademik (tka) untuk kelompok saintek dan soshum akan berbeda.

Untuk memudahkan calon mahasiswa belajar tps, silahkan download soal dan pembahasan tps utbk 2020 pemahaman bacaan dan tes potensi skolastik atau biasa disebut tps merupakan tes yang akan digunakan oleh panitia ltmpt guna menyeleksi calon mahasiswa dalam sbmptn 2020. Tujuan hidup kita memang bukan hanya tentang belajar dan belajar tetapi jikalau itu saja tidak bisa kita peroleh, lalu apa yang akan kita capai. #latsolsbmptn #latsolberbagi #sbmptn #sbmptn2022 #masukkampus #univseindonesia #pejuangsbmptn pic.twitter.com/kybjakqkd4. Kunjungi chanel youtube ruang para bintang. Berikut kita simak soal dan pembahasan simulasi ujian sekolah matematika smp tahun 2022 yang kita pilih dari soal unbk matematika smp 2019. Jika luas $ \delta abc $ adalah $ x $ cm$^2. Contoh soal tps sbmptn 2020 dan pembahasan saintek dan soshum terbaru dari edutore gramedia. Kisi kisi sbmptn dan contoh soal sbmptn soshum 2019. Sekali lagi akan saya tekankan bahwa belajar soal sbmptn 2019 baik soal tkd dan soal tkpa beserta pembahasannya sangatlah penting karena kuota masuk perguruan tinggi jalur sbmptn sangatlah sedikit, bisa dibilang hanya 35. Soal dan pembahasan tpa bagian 9. Suku pertama dan beda diketahui jika suku pertama suatu barisan aritmatika sama dengan 40 dan be. Salam para bintang kali ini saya akan coba berbagi sedikit informasi tentang salinan soal dan pembahasan soal ujian mandiri di universitas. Perlu diketahui bahwa materi tes kompetensi akademik (tka) untuk kelompok saintek dan soshum akan berbeda. Pada kesempatan kali ini kita akan membahas soal prediksi utbk sbmptn tahun 2022 materi tentang operasi hitung bilangan.matematika tv adalah bimbel portable.

Read soal dan pembahasan sbmptn #15 from the story soal dan pembahasan sbmptn biologi selesai by sientasnovel (sienta sasika novel) with 1,241 reads. Materi soal soal utbk sbmptn dan pembahasan. Untuk memudahkan calon mahasiswa belajar tps, silahkan download soal dan pembahasan tps utbk 2020 pemahaman bacaan dan tes potensi skolastik atau biasa disebut tps merupakan tes yang akan digunakan oleh panitia ltmpt guna menyeleksi calon mahasiswa dalam sbmptn 2020. Secara umum aplikasi turunan ada tiga yaitu: Contoh soal dan pembahasan pengetahuan dan pemahaman umum tes potensi skolastik (tps) utbk 2020 pdf.

Kumpulan Soal Sbmptn Biologi Dan Pembahasan - Guru Paud
Kumpulan Soal Sbmptn Biologi Dan Pembahasan - Guru Paud from image.slidesharecdn.com
Silahkan pelajari kumpulan contoh soal utbk sbmptn 2021 lengkap dengan pembahasannya. Secara umum aplikasi turunan ada tiga yaitu: Contoh soal penjumlahan / pengurangan sin, cos, tan & pembahasan. Dilengkapi pembahasan, yang dibahas secara detail, padat dan mudah dipahami. Pembahasan soal simpangan baku nomor 2. So, mari pelajari soal soal ssn/stsn dan pembahasannya, sesuai dengan kisi kisi soal skd ssn 2021/2022 yang telah di jelasakan di atas, agar lebih mudah dalam menghadapi tes cat skd ssn dan tentunya mampu mendapatkan skor skd yang baik dalam persaingan peserta yang sangat ketat!. Akreditasi prodi iain purwokerto 2020 17 views. Download soal utbk sbmptn dan pembahasan 17 views.

Kisi kisi sbmptn dan contoh soal sbmptn soshum 2019.

Dilengkapi dengan pembahasan yang disajikan secara ringkas, padat, dan. Materi soal soal utbk sbmptn dan pembahasan. Akreditasi prodi iain purwokerto 2020 17 views. Download soal try out (to) utbk sbmptn 2021 dan arsip soal utbk tps soshum dan saintek sbmptn tahun 2020. Tujuan hidup kita memang bukan hanya tentang belajar dan belajar tetapi jikalau itu saja tidak bisa kita peroleh, lalu apa yang akan kita capai. #latsolsbmptn #latsolberbagi #sbmptn #sbmptn2022 #masukkampus #univseindonesia #pejuangsbmptn pic.twitter.com/kybjakqkd4. Kisi kisi sbmptn dan contoh soal sbmptn soshum 2019. Update soal to utbk sbmptn 2021 dan arsip soal utbk sbmptn 2020 ddan sebelumnya dengan kunci jawabannya atau pembahasannya. Dilengkapi pembahasan, yang dibahas secara detail, padat dan mudah dipahami. Pernyataan yang tidak sesuai dengan teks di atas adalah banyak pelanggan pengusaha sepatu di kabupaten mojokerto. Download soal utbk sbmptn dan pembahasan 17 views. Soal peluang tps utbk sbmptn & pembahasan. Contoh soal penjumlahan / pengurangan sin, cos, tan & pembahasan. Pada kesempatan kali ini kita akan membahas soal prediksi utbk sbmptn tahun 2022 materi tentang operasi hitung bilangan.matematika tv adalah bimbel portable.

Soal pilihan ganda barisan dan deret aritmatika. Pada kesempatan kali ini kita akan membahas soal prediksi utbk sbmptn tahun 2022 materi tentang operasi hitung bilangan.matematika tv adalah bimbel portable. Persamaan garis singgung kurva b. Download soal utbk sbmptn gratis, soal try out sbmptn, prediksi soal, pembahasan soal sbmptn persiapan mengikuti utbk 2021. Pembahasan soal sbmptn campuran ( gabungan dari saintek dan soshum).

SOAL DAN PEMBAHASAN SKB PSIKOTEST CPNS #1 - YouTube
SOAL DAN PEMBAHASAN SKB PSIKOTEST CPNS #1 - YouTube from i.ytimg.com
Untuk memudahkan calon mahasiswa belajar tps, silahkan download soal dan pembahasan tps utbk 2020 pemahaman bacaan dan tes potensi skolastik atau biasa disebut tps merupakan tes yang akan digunakan oleh panitia ltmpt guna menyeleksi calon mahasiswa dalam sbmptn 2020. Secara umum aplikasi turunan ada tiga yaitu: Perlu diketahui bahwa materi tes kompetensi akademik (tka) untuk kelompok saintek dan soshum akan berbeda. Read soal dan pembahasan sbmptn #15 from the story soal dan pembahasan sbmptn biologi selesai by sientasnovel (sienta sasika novel) with 1,241 reads. Update soal to utbk sbmptn 2021 dan arsip soal utbk sbmptn 2020 ddan sebelumnya dengan kunci jawabannya atau pembahasannya. Soal dan pembahasan tpa bagian 9. Pada kesempatan kali ini kita akan membahas soal prediksi utbk sbmptn tahun 2022 materi tentang operasi hitung bilangan.matematika tv adalah bimbel portable. Pernyataan yang tidak sesuai dengan teks di atas adalah banyak pelanggan pengusaha sepatu di kabupaten mojokerto.

Fungsi maksimum dan minimum soal dan pembahasan aplikasi turunan ini akan kita bahas satu.

Paket materi soal sbmptbr tka saintek dan tka soshum 2021/2022. Kunjungi chanel youtube ruang para bintang. Prediksi soal sbmptn , beserta kunci jawaban dari bimbel ganesha operation (go) silahkan klik disini. Update soal to utbk sbmptn 2021 dan arsip soal utbk sbmptn 2020 ddan sebelumnya dengan kunci jawabannya atau pembahasannya. Download soal utbk sbmptn gratis, soal try out sbmptn, prediksi soal, pembahasan soal sbmptn persiapan mengikuti utbk 2021. Pernyataan yang tidak sesuai dengan teks di atas adalah banyak pelanggan pengusaha sepatu di kabupaten mojokerto. Pada kesempatan kali ini kita akan membahas soal prediksi utbk sbmptn tahun 2022 materi tentang operasi hitung bilangan.matematika tv adalah bimbel portable. Jika kamu memang membutuhkan contoh soal sbmptn, berikut ini daftar soal utbk yang sangat kampus impian rekomendasikan untuk di unduh Dengan adanya edutore, buku soal sbmptn saintek yang selama ini diakses secara fisik, kini dapat diakses juga dengan web dan aplikasi sehingga belajar dapat dilakukan di mana saja. So, mari pelajari soal soal ssn/stsn dan pembahasannya, sesuai dengan kisi kisi soal skd ssn 2021/2022 yang telah di jelasakan di atas, agar lebih mudah dalam menghadapi tes cat skd ssn dan tentunya mampu mendapatkan skor skd yang baik dalam persaingan peserta yang sangat ketat!. Jika luas $ \delta abc $ adalah $ x $ cm$^2. Bagi anda yang memerlukan prediksi soal utbk silahkan anda download pada link unduhan berikut ini Dilengkapi dengan pembahasan yang disajikan secara ringkas, padat, dan.

Sekali lagi akan saya tekankan bahwa belajar soal sbmptn 2019 baik soal tkd dan soal tkpa beserta pembahasannya sangatlah penting karena kuota masuk perguruan tinggi jalur sbmptn sangatlah sedikit, bisa dibilang hanya 35 soal sbmptn 2022. Download soal utbk sbmptn dan pembahasan 17 views.

Posting Komentar untuk "Soal Sbmptn 2022 Dan Pembahasan - SBMPTN dan Contoh Soal: Pembahasan Soal Sbmptn Soshum ... - Diperoleh ragam atau varians data diatas sebagai berikut:"